PostScript-File des Zwischentextes holen
PDF-File des Zwischentextes holen
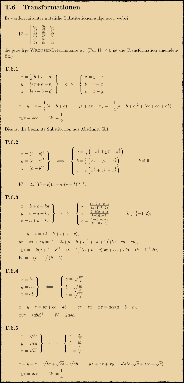
Fließtext

© 1998-2001  Eckard Specht  
Generated by a Perl script from the original LATEX file.